เทศบาลตำบลท้องเนียน
Foreground Image

เทศบาลตำบลท้องเนียน
อำเภอขนอม จังหวัดนครศรีธรรมราช

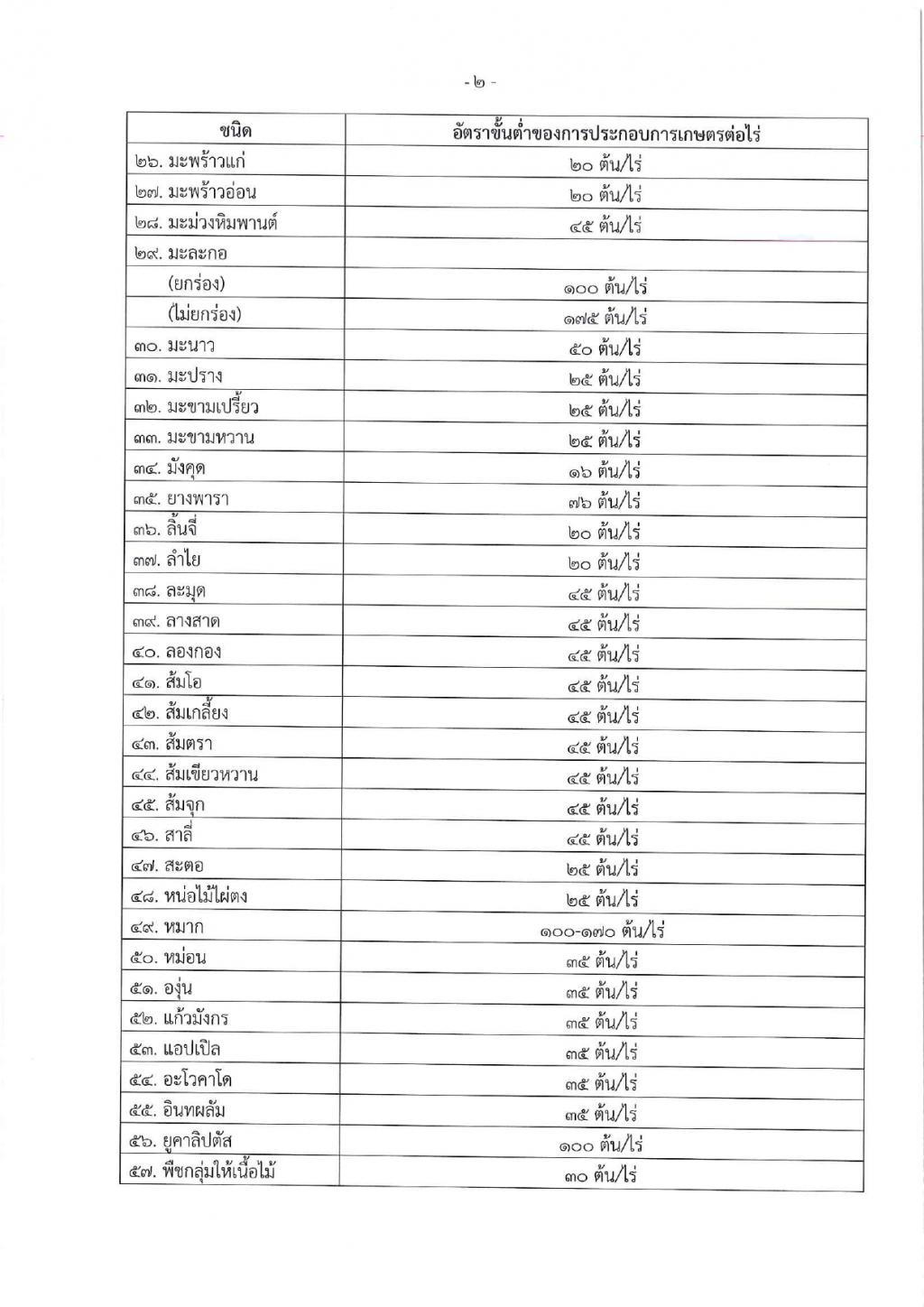
ประกาศกระทรวงการคลังและกระทรวงมหาดไทย เรื่อง หลักเกณฑ์การใช้ประโยชน์ในการประกอบเกษตรกรรม (ฉบับที่ 3)
By : Administrator เมื่อ : 24 เดือน เมษายน พ.ศ. 2568  อ่าน : 66   


ผู้เยี่ยมชม


Your IP Address  216.73.216.128
ออนไลน์ 2ip
วันนี้ 87ip
เดือนนี้ 533ip
ปีนี้ 14777ip
ทั้งหมด 39530ip

ติดต่อเรา

เทศบาลตำบลท้องเนียน
อาคารเลขที่ 75 หมู่ที่ 1 ตำบลท้องเนียน อำเภอขนอม จังหวัดนครศรีธรรมราช 80210
โทรศัพท์ : 075-528367
เวลาทำการ จันทร์ - ศุกร์ เวลา 08.30 - 16.30 น.
เว็บไซต์ : www.tncity.go.th
อีเมล์ : tongnearcity@gmail.com


สายด่วนผู้บริหาร  >> นายวรินทร์  ทองใหญ่ นายกเทศมนตรีตำบลท้องเนียน      
>>> หมายเลขโทรศัพท์ : 081-9203442


Facebook

         

© 2024 เทศบาลตำบลท้องเนียน
หมู่ที่ 1 ตำบลท้องเนียน อำเภอขนอม จังหวัดนครศรีธรรมราช 80210 โทรศัพท์ 0-7552-8367
Best resolution 1024 * 786 or higher   Administrator


facebook-messenger--v1